Hallo Stefan,
vielen Dank! Ich hatte mich schon gefragt, wozu man "Sortierung" in der Produkteihenfolge benötigt. An die Kategorieauswahl im Filter hatte nicht gedacht.
Nochmals vielen Dank!
Manuel
Hallo Stefan,
vielen Dank! Ich hatte mich schon gefragt, wozu man "Sortierung" in der Produkteihenfolge benötigt. An die Kategorieauswahl im Filter hatte nicht gedacht.
Nochmals vielen Dank!
Manuel
Hallo,
Ich benutze VM3.2.14 unter Joomla 3.8.6. Alles funktioniert top. Jetzt möchte der Shop-Inhaber aber ein bestimmtes Produkt in der Kategorieanzeige an die erste Stelle platziert haben. Leider gibt es in Virtuemart noch nicht die Möglichkeit wie bei den Joomla-Beiträgen oder Modulen sie einfach zu verschieben. Wie könnte ich das Problem trotzdem schnell und einfach lösen, ohne Ändern der Artikelnummern oder so.
Vielen Dank
Manuel
Vielen Dank, dies ist wirklich ein tolles Forum. Hier bekommt man echte Hilfe, das ist nicht überall so!
Nochmals viele Grüße
Manuel
Danke Stefan,
aber was genau soll ich posten.
Viele Grüße
Manuel
Hallo,
Ich habe von der Virtuemart-Version 3.0.18 aktualisiert. Joomla ist 3.6.5 und PHP 7.0.16
Viele Grüße
Manuel
Hallo,
ich habe das update auf 3.2.1 durchgeführt und erhalte folgende Meldung :
"Warnung
JFolder: :delete: Der Pfad ist kein Verzeichnis! Pfad: /mnt/web002/a1/66/5207366/htdocs/other_domains/fischfabrik-usedom/administrator/components/com_virtuemart/liveupdate
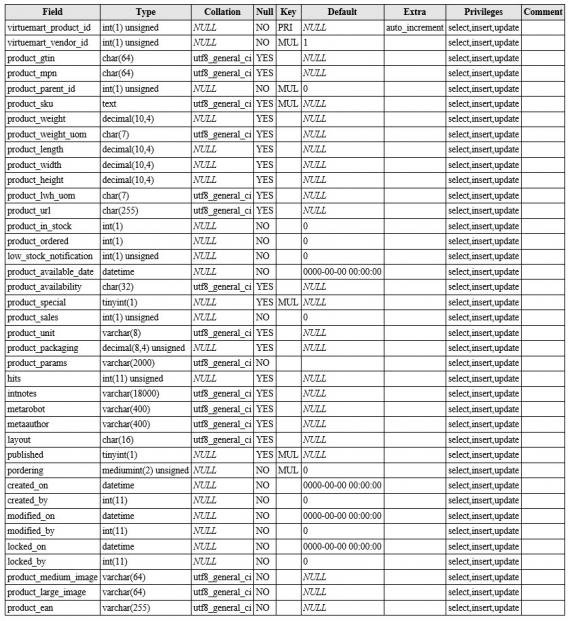
Row size too large. The maximum row size for the used table type, not counting BLOBs, is 65535. This includes storage overhead, check the manual. You have to change some columns to TEXT or BLOBs SQL=ALTER TABLE `#__virtuemart_products` CHANGE COLUMN `product_sku` `product_sku` VARCHAR(255) AFTER `product_parent_id`"
Was stimmt in der Datenbank nicht?
Vielen Dank!
Manuel
Hallo,
ich habe von 3.0.09 aus aktualisiert. (mit dem DB-Fehler) Das Ein- und Ausschalten von Ajax für OPC liefert leider keine Änderung.
Ich dachte, wenn ich an dem OPC-plugin liegt und ich es deaktiviere, müsste auch das Popup für den Warenkorb wenigstens erscheinen?
So langsam verzweifel ich.
Hallo,
ich habe ein großes Problem seit dem update auf 3.0.10. Beim Klicken auf in den WarenKorb erscheint das modale Pop-Up Fenster nicht mehr. Es erscheint eine Seite:
Warenkorb ist leer Sie haben keine Artikel im Warenkorb. Klicken hier um den Einkauf fortzusetzen.
Bekomme keine Waren mehr in den Korb. Hat vorher funktioniert, mit plugin "One Step Checkout for VirtueMart" von cmsmart.
Wenn ich das plugin deaktiviere, komme ich auf die Warenkorb-Seite ohne Inhalt. Daran liegt es dann wahrscheinlich nicht.
Das von mir im Juli gepostete Problem http://forum.virtuemart.de/ins…-too-large-2161/#post8095 trat bei der Installation auch wieder auf.
Danke für die schnelle Hilfe.
Manuel
Vielen Dank für die schnelle Hilfe!
Hallo,
nach dem Umzug eines Shops auf Joomla 3 und VM 3 ist meine Danke-Seite weg. Es erscheint nur ein kleiner Text:
Vielen Dank für Ihre Bestellung!
Zahlungsart: Vorkasse
Bestellnummer 20a40308
Endsumme 19,99 €
Ihre Bestellung ansehen
ohne Hintergrund oben links in der Content-ecke. In VM 2 hatte ich das mit einem override angepasst, finde das aber jetzt nicht mehr.
Kann mir jemand helfen.
Vielen Dank
Manuel
Ja, habe ich eingefügt.
[config]
##shop settings
dblayoutstrict=0
shop_is_offline=0
Danke,
ich verwende MySQL 5.5.44.
Auch wenn ich den Typ von product_sku in der tank_virtuemart_products auf text ändere, kommt die gleiche Fehlermeldung.
Versteh ich nicht.
Viele Grüße
Manuel
Hallo,
beim update auf VM 3.0.9 erhalte ich folgende Fehlermeldung:
Row size too large. The maximum row size for the used table type, not counting BLOBs, is 65535. You have to change some columns to TEXT or BLOBs SQL=ALTER TABLE `tank_virtuemart_products` CHANGE COLUMN `product_sku` `product_sku` VARCHAR(255) AFTER `product_parent_id`
Was muss ich ändern?
Vielen Dank!
Manuel
Danke für die schnelle Antwort,
beides sind aktualisierte Shops. Mir ist jetzt aufgefallen das das Problem mit dem Loginformular auch in VM 2 auftrat. Ich habe es nur nicht beachtet, da die Verkäufe liefen und keine Beschwerden kamen. Aber es ist recht unpraktisch und auch nicht schön. Ich habe diese Seite erst jetzt auf Joomla 3.4 umgestellt, da eine andere Komponente erst jetzt Joomla 3 tauglich ist. Beide Shops sind zur Zeit nur in deutsch.
Wie schaffe ich es, das das komplette Registrierungsformular angezeigt wird? Wo wird das Ziel der Adress-Buttons gesteuert. Wenn ich den Link im Browser auf ../shop/user/editadresscartBT.html ändere zeigt er, wie im anderen shop, das gewünschte Formular an.
Danke
Manuel
Hallo,
nach tagelanger erfolgloser Suche bitte ich Euch um Hilfe.
Folgendes Problem: Zwei shops auf Joomla 3.4 mit Virtuemart 3.0.6.2. Bei dem einen Shop erscheint beim Klick auf den Button : "Adresse eingeben" sofort das komplette Eingabeformular mit Käuferinformation, Rechnungsadresse und dem Button zum registrieren und zur Kasse gehen. So wünsche ich das auch.
Beim zweiten Shop bekomme ich nur ein Loginformular mit Benutzername und Passwort. Hier muß ich über "registrieren" erst die Joomla-Registrierung ausführen. Wo kann der Fehler liegen. Im ersten Fall weist der Button "Adresse eingeben" auf:
../user/editadresscartBT.html, beim zweiten shop: ../mein-konto/editadresscartBT.html.
Vielen Dank für Eure Hilfe
Manuel
Hallo,
ich habe noch ein kleines Problem. In VM2 habe ich in der default.php über Override den Pfad zu Beitrag AGB geändert. Wie auch schon oft im Forum erklärt wurde.
Wo kann ich das in VM 3. Habe schon alle Dateien im cart-Ordner durchsucht, finde aber leider nichts.
Vielen Dank.
Manuel
Vielen Dank!
es lag an den alten Overrides. Das Erstellen und Bearbeiten von Overrides ist bei Joomla 3 gut gelöst.
Nochmals Danke für den Tip, manchmal dreht man sich in Kreis und an das Einfache denkt man nicht mehr.
Viele Grüße
Manuel
Hallo,
Nach dem erfolgreichen update auf VM 3 und einigen css-Anpassungen läuft alles top. Der einzige Fehler: Im Warenkorb steht hinter dem Namen der Artikel immer "Array" als einfacher Text in der Tabelle.
Wo kann ich dies löschen?
Vielen Dank!
Manuel
Hallo,
nach dem update heute auf Version 3.02 habe ich einen Fehler 1242 subquery returns mor than 1 row SQL= ... im Joomla BE erhalten. Nach dem Rücksichern der alten Datenbank wieder alles ok.
Wo liegt der Fehler?
Habe jetzt bemerkt, das Version 3.02 schon installiert ist (Kontrolle ist besser), aber im Kontrollzentrum als austehende Aktualisierung angezeigt wird (virtuemart und aio). Wie kann ich diesen Fehler beheben?
Heute am 30.01.15 habe ich das Problem bei einem anderen shop, beim updaten auf 3.04. Wieder der Fehler im BE.
Hilfe!
Danke für Eure Mühe
Manuel