Hallo,
ich habe das update auf 3.2.1 durchgeführt und erhalte folgende Meldung :
"Warnung
JFolder: :delete: Der Pfad ist kein Verzeichnis! Pfad: /mnt/web002/a1/66/5207366/htdocs/other_domains/fischfabrik-usedom/administrator/components/com_virtuemart/liveupdate
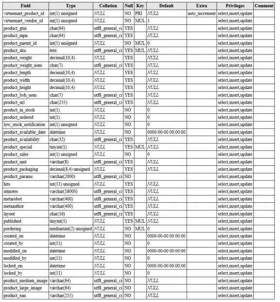
Row size too large. The maximum row size for the used table type, not counting BLOBs, is 65535. This includes storage overhead, check the manual. You have to change some columns to TEXT or BLOBs SQL=ALTER TABLE `#__virtuemart_products` CHANGE COLUMN `product_sku` `product_sku` VARCHAR(255) AFTER `product_parent_id`"
Was stimmt in der Datenbank nicht?
Vielen Dank!
Manuel